Официальное опубликование правовых актов
ОФИЦИАЛЬНОЕ ОПУБЛИКОВАНИЕ
Приказ министерства архитектуры и градостроительства Воронежской области от 26.10.2023 № 45-01-04/1055
"Об утверждении правил землепользования и застройки Никольского сельского поселения Новоусманского муниципального района Воронежской области"
(Зарегистрирован 13.11.2023 № 1429)
Номер опубликования: 3601202311140004
Дата опубликования: 14.11.2023
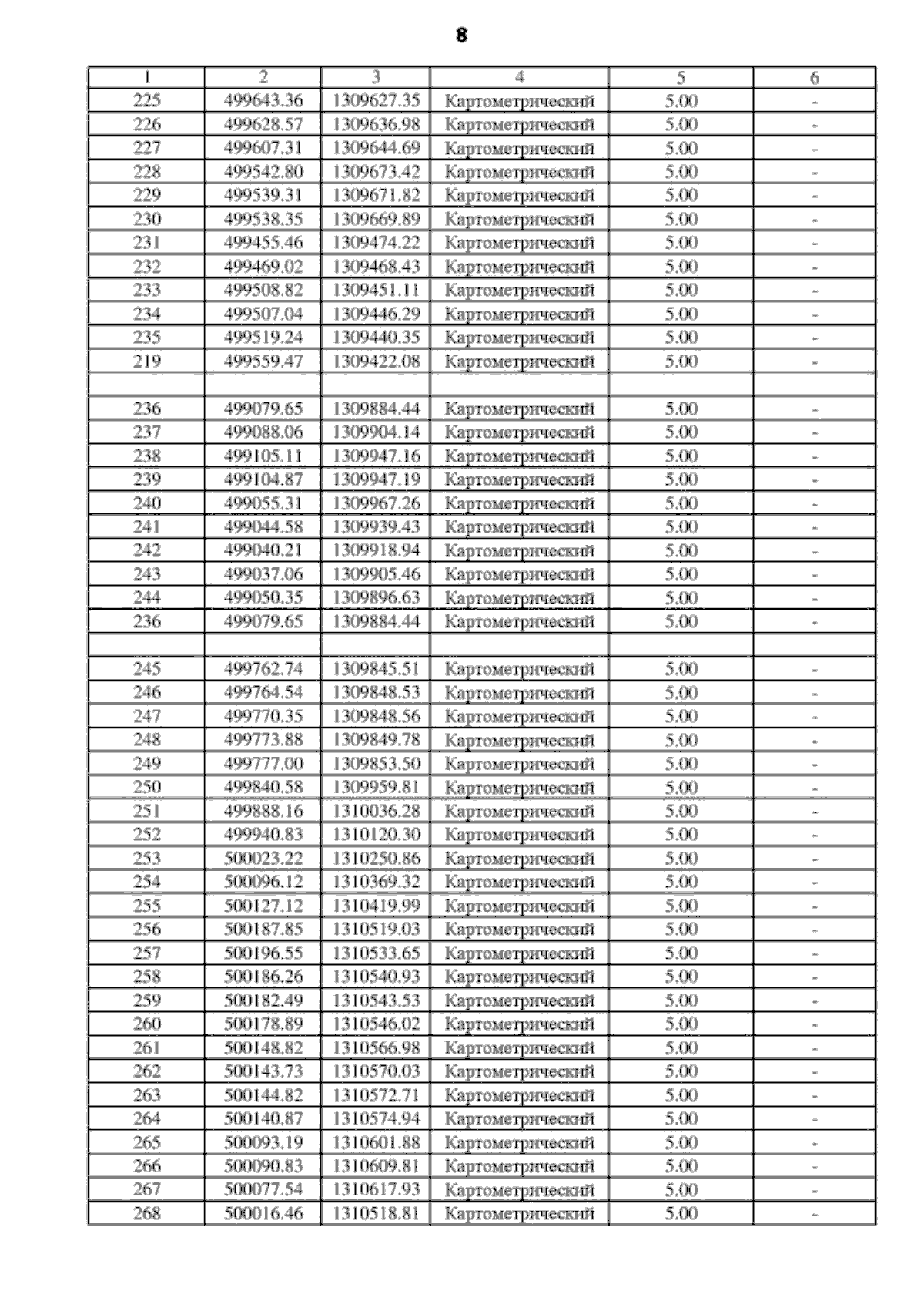
Страница №69 из 233:
Увеличить