Официальное опубликование правовых актов
ОФИЦИАЛЬНОЕ ОПУБЛИКОВАНИЕ
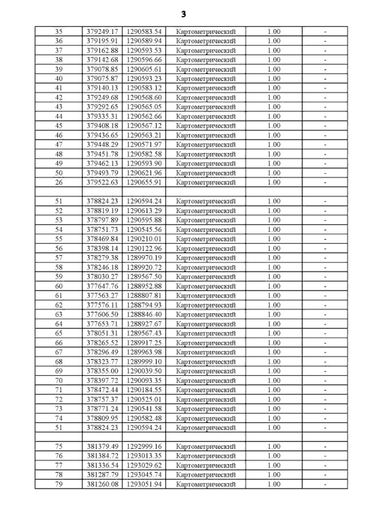
Приказ министерства архитектуры и градостроительства Воронежской области от 26.10.2023 № 45-01-04/1054
"О внесении изменений в правила землепользования и застройки Копанянского сельского поселения Ольховатского муниципального района Воронежской области"
(Зарегистрирован 07.11.2023 № 1364)
Номер опубликования: 3601202311140002
Дата опубликования: 14.11.2023
Страница №49 из 61:
Увеличить