Официальное опубликование правовых актов
ОФИЦИАЛЬНОЕ ОПУБЛИКОВАНИЕ
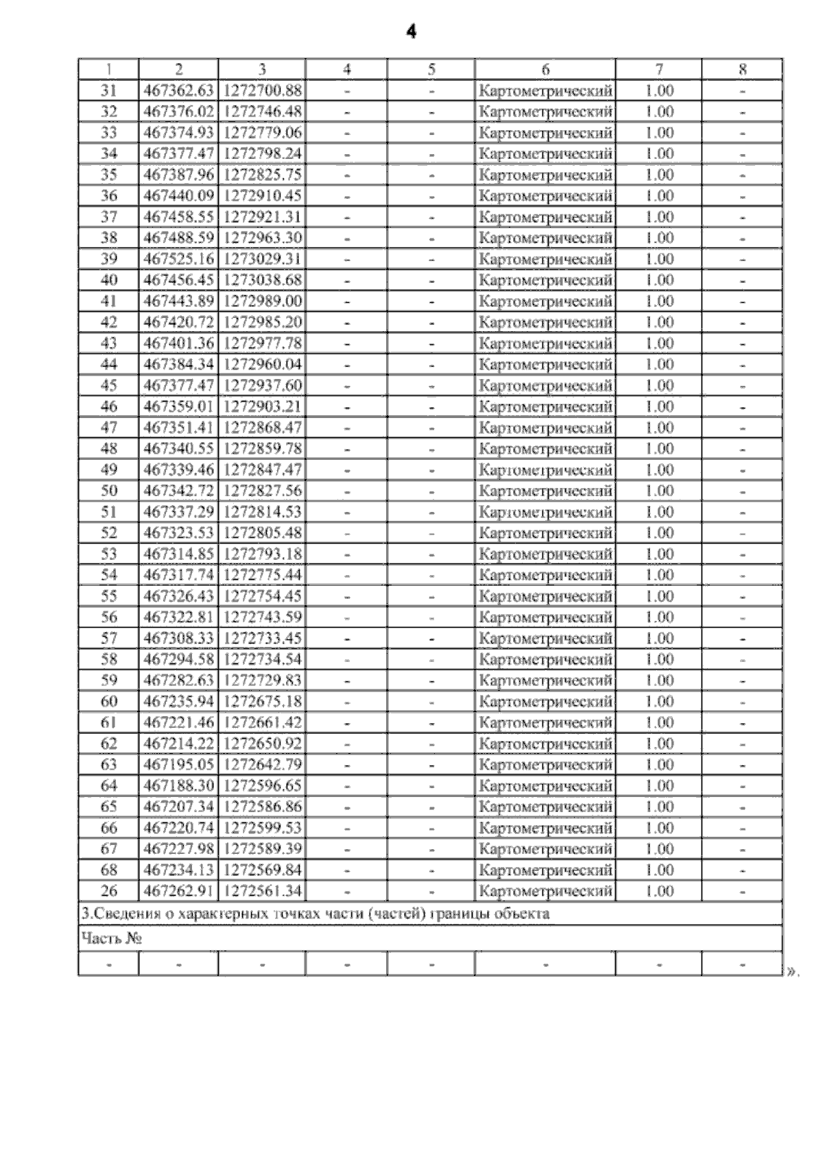
Приказ Департамента архитектуры и градостроительства Воронежской области от 28.09.2023 № 45-01-04/958
"О внесении изменений в правила землепользования и застройки Новосолдатского сельского поселения Репьёвского муниципального района Воронежской области"
(Зарегистрирован 06.10.2023 № 1088)
Номер опубликования: 3601202310090005
Дата опубликования: 09.10.2023
Страница №43 из 43:
Увеличить