Официальное опубликование правовых актов
ОФИЦИАЛЬНОЕ ОПУБЛИКОВАНИЕ
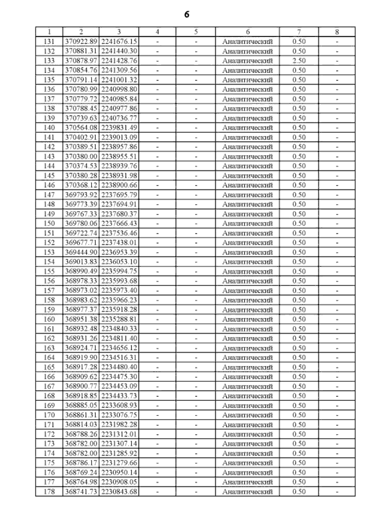
Приказ Департамента архитектуры и градостроительства Воронежской области от 20.09.2023 № 45-01-04/933
"О внесении изменений в правила землепользования и застройки Калачеевского сельского поселения Калачеевского муниципального района Воронежской области"
(Зарегистрирован 29.09.2023 № 1074)
Номер опубликования: 3601202310040013
Дата опубликования: 04.10.2023
Страница №48 из 56:
Увеличить