Официальное опубликование правовых актов
ОФИЦИАЛЬНОЕ ОПУБЛИКОВАНИЕ
Приказ Департамента архитектуры и градостроительства Воронежской области от 19.09.2023 № 45-01-04/929
"О внесении изменений в правила землепользования и застройки Караяшниковского сельского поселения Ольховатского муниципального района Воронежской области"
(Зарегистрирован 28.09.2023 № 1061)
Номер опубликования: 3601202310040010
Дата опубликования: 04.10.2023
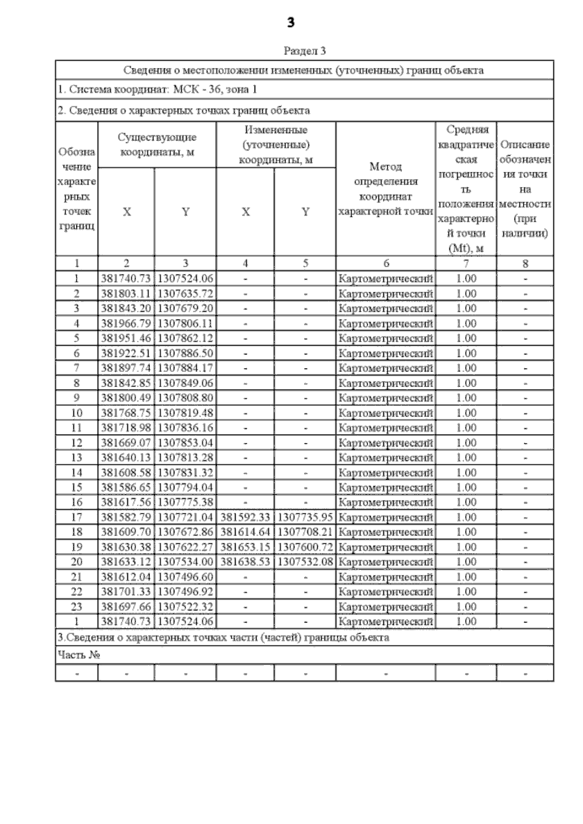
Страница №15 из 29:
Увеличить