Официальное опубликование правовых актов
ОФИЦИАЛЬНОЕ ОПУБЛИКОВАНИЕ
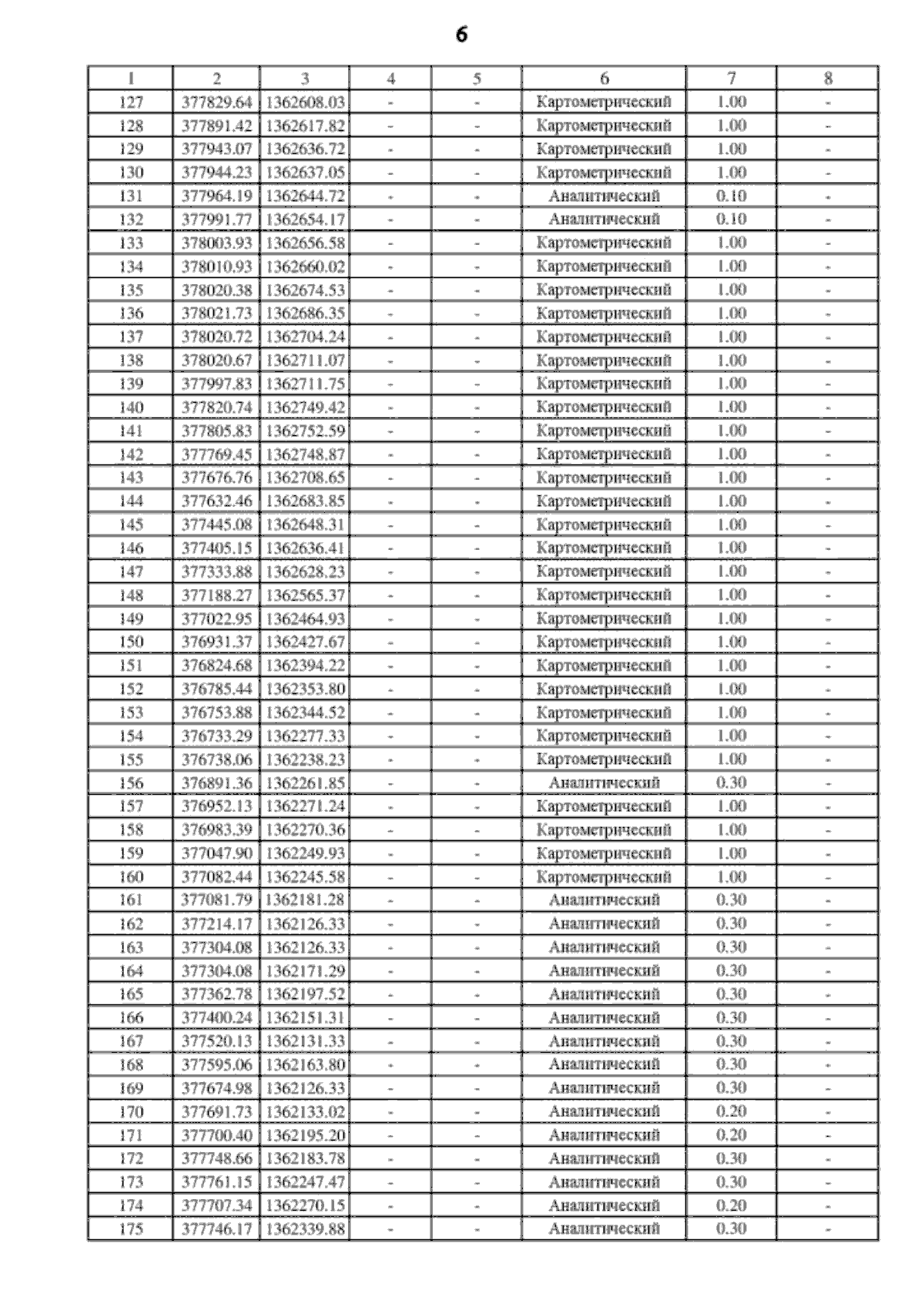
Приказ Департамента архитектуры и градостроительства Воронежской области от 04.09.2023 № 45-01-04/862
"О внесении изменений в правила землепользования и застройки Витебского сельского поселения Подгоренского муниципального района Воронежской области"
(Зарегистрирован 12.09.2023 № 1012)
Номер опубликования: 3601202309140001
Дата опубликования: 14.09.2023
Страница №14 из 23:
Увеличить