Официальное опубликование правовых актов
ОФИЦИАЛЬНОЕ ОПУБЛИКОВАНИЕ
Приказ Департамента архитектуры и градостроительства Воронежской области от 11.08.2023 № 45-01-04/783
"Об утверждении правил землепользования и застройки Абрамовского сельского поселения Таловского муниципального района Воронежской области"
(Зарегистрирован 22.08.2023 № 924)
Номер опубликования: 3601202308250002
Дата опубликования: 25.08.2023
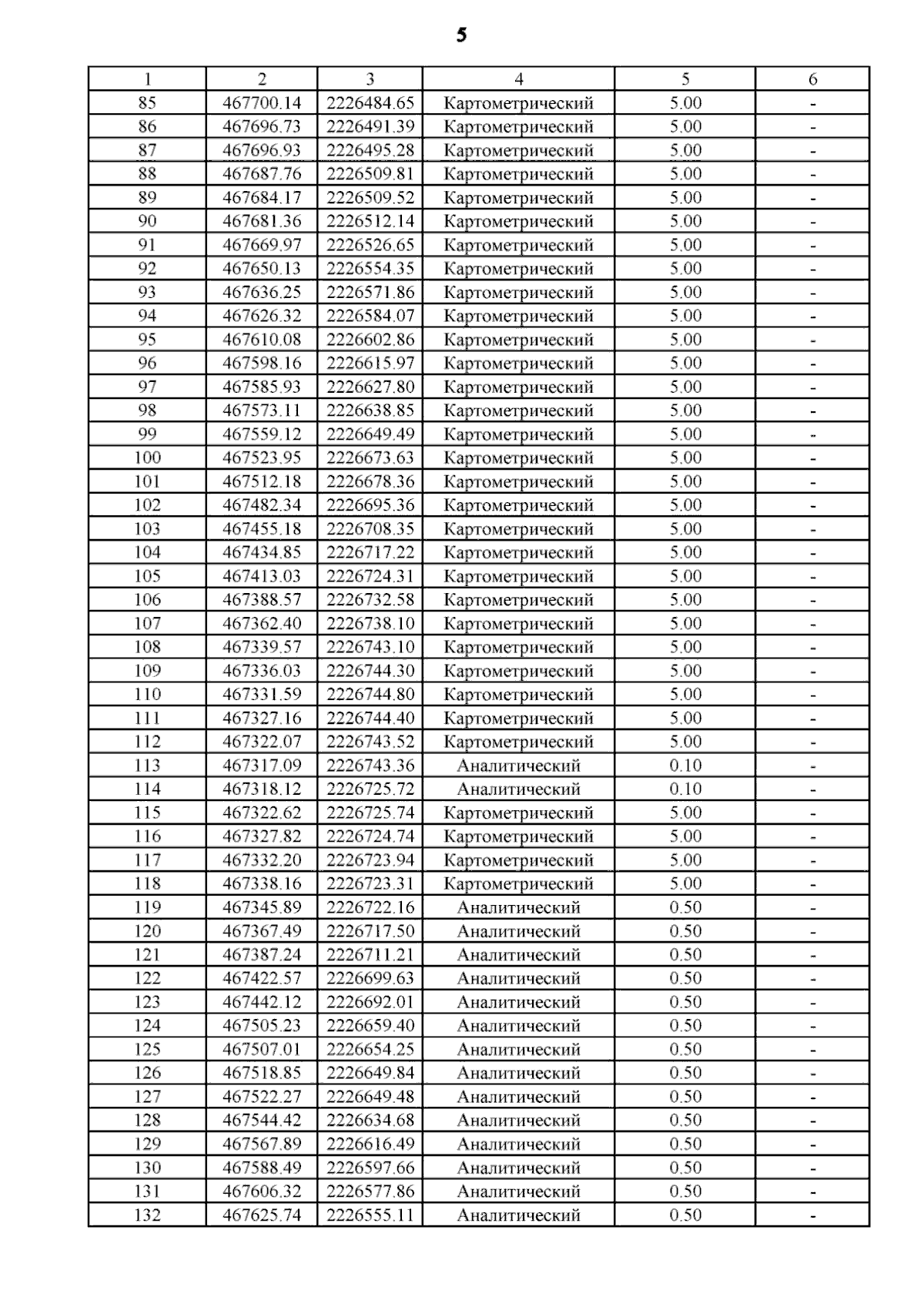
Страница №290 из 334:
Увеличить