Официальное опубликование правовых актов
ОФИЦИАЛЬНОЕ ОПУБЛИКОВАНИЕ
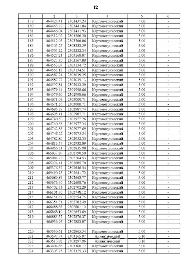
Приказ Департамента архитектуры и градостроительства Воронежской области от 20.07.2023 № 45-01-04/678
"Об утверждении правил землепользования и застройки городского поселения – город Поворино Поворинского муниципального района Воронежской области"
(Зарегистрирован 31.07.2023 № 849)
Номер опубликования: 3601202308030005
Дата опубликования: 03.08.2023
Страница №143 из 151:
Увеличить