Официальное опубликование правовых актов
ОФИЦИАЛЬНОЕ ОПУБЛИКОВАНИЕ
Приказ Департамента архитектуры и градостроительства Воронежской области от 20.07.2023 № 45-01-04/676
"Об утверждении правил землепользования и застройки Медвеженского сельского поселения Семилукского муниципального района Воронежской области"
(Зарегистрирован 25.07.2023 № 832)
Номер опубликования: 3601202307260010
Дата опубликования: 26.07.2023
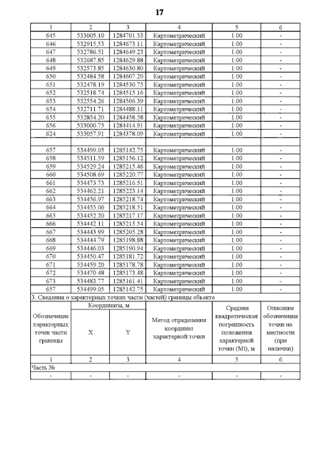
Страница №55 из 184:
Увеличить