Официальное опубликование правовых актов
ОФИЦИАЛЬНОЕ ОПУБЛИКОВАНИЕ
Приказ Департамента архитектуры и градостроительства Воронежской области от 30.06.2023 № 45-01-04/581
"Об утверждении правил землепользования и застройки Александровского сельского поселения Таловского муниципального района Воронежской области"
(Зарегистрирован 13.07.2023 № 770)
Номер опубликования: 3601202307170010
Дата опубликования: 17.07.2023
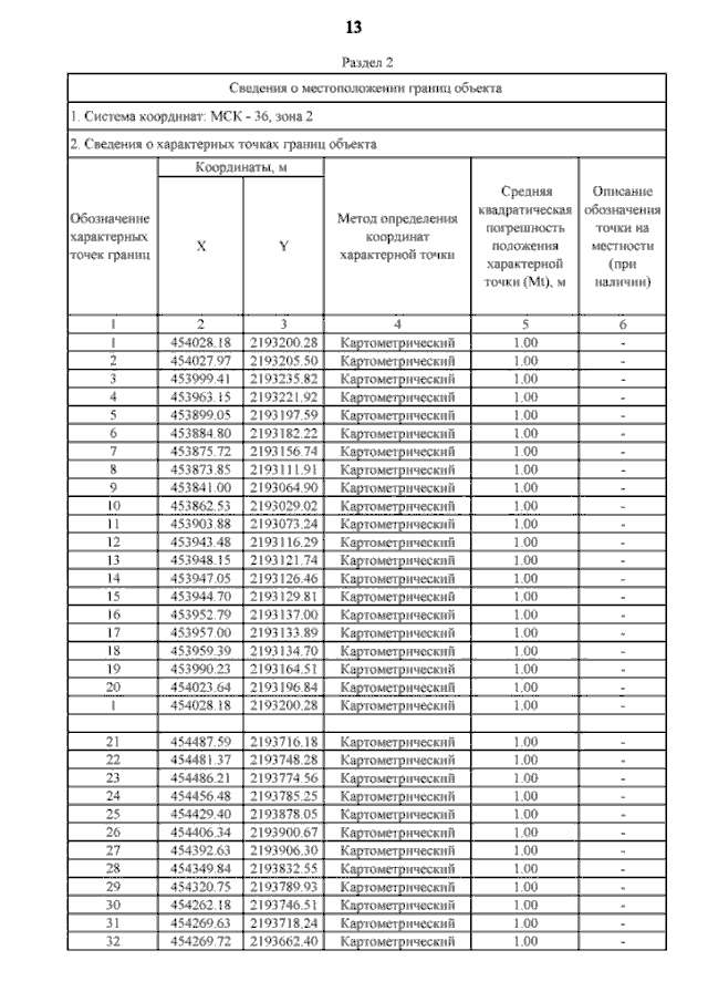
Страница №290 из 542:
Увеличить