Официальное опубликование правовых актов
ОФИЦИАЛЬНОЕ ОПУБЛИКОВАНИЕ
Приказ Департамента архитектуры и градостроительства Воронежской области от 17.05.2023 № 45-01-04/368
"О внесении изменений в правила землепользования и застройки Краснологского сельского поселения Каширского муниципального района Воронежской области"
(Зарегистрирован 29.05.2023 № 545)
Номер опубликования: 3601202306060010
Дата опубликования: 06.06.2023
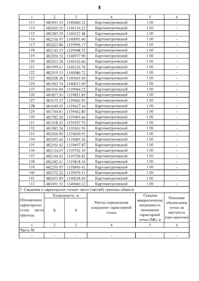
Страница №27 из 29:
Увеличить