Официальное опубликование правовых актов
ОФИЦИАЛЬНОЕ ОПУБЛИКОВАНИЕ
Приказ Департамента архитектуры и градостроительства Воронежской области от 05.05.2023 № 45-01-04/334
"Об утверждении правил землепользования и застройки Тамбовского сельского поселения Терновского муниципального района Воронежской области"
(Зарегистрирован 24.05.2023 № 520)
Номер опубликования: 3601202305290011
Дата опубликования: 29.05.2023
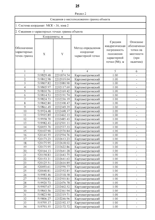
Страница №127 из 185:
Увеличить