Официальное опубликование правовых актов
ОФИЦИАЛЬНОЕ ОПУБЛИКОВАНИЕ
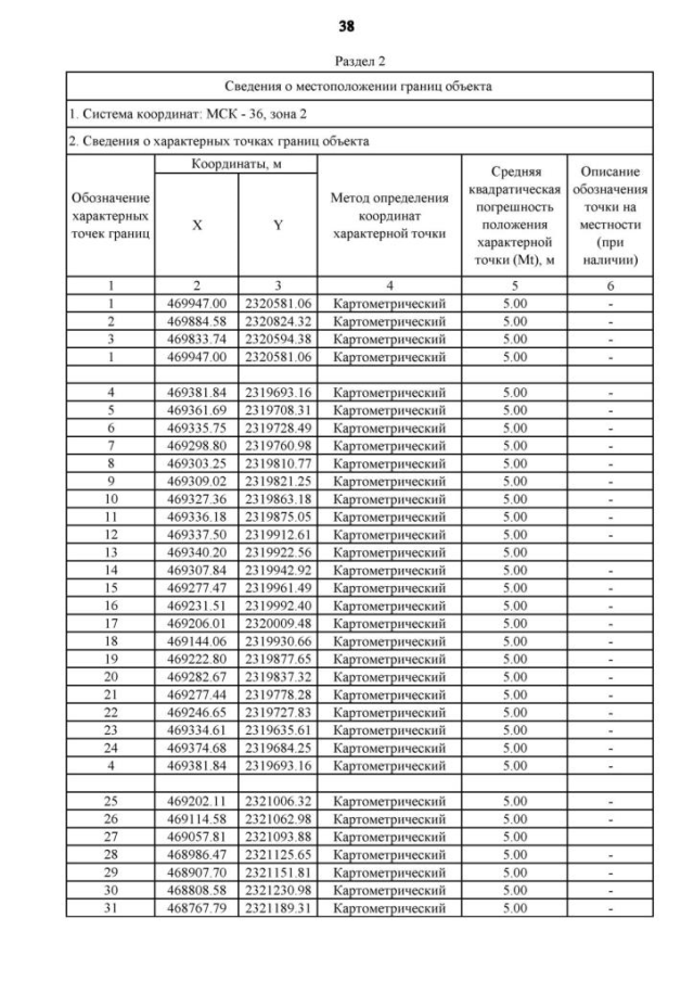
Приказ Департамента архитектуры и градостроительства Воронежской области от 02.05.2023 № 45-01-04/325
"Об утверждении правил землепользования и застройки Песковского сельского поселения Поворинского муниципального района Воронежской области"
(Зарегистрирован 12.05.2023 № 466)
Номер опубликования: 3601202305170001
Дата опубликования: 17.05.2023
Страница №84 из 224:
Увеличить