Официальное опубликование правовых актов
ОФИЦИАЛЬНОЕ ОПУБЛИКОВАНИЕ
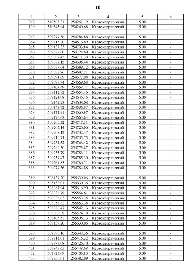
Приказ Департамента архитектуры и градостроительства Воронежской области от 21.04.2023 № 45-01-04/304
"О внесении изменений в правила землепользования и застройки Верхнетуровского сельского поселения Нижнедевицкого муниципального района Воронежской области"
(Зарегистрирован 02.05.2023 № 446)
Номер опубликования: 3601202305050008
Дата опубликования: 05.05.2023
Страница №91 из 155:
Увеличить