Официальное опубликование правовых актов
ОФИЦИАЛЬНОЕ ОПУБЛИКОВАНИЕ
Приказ Департамента архитектуры и градостроительства Воронежской области от 18.04.2023 № 45-01-04/278
"О внесении изменений в правила землепользования и застройки Братковского сельского поселения Терновского муниципального района Воронежской области"
(Зарегистрирован 28.04.2023 № 433)
Номер опубликования: 3601202305020004
Дата опубликования: 02.05.2023
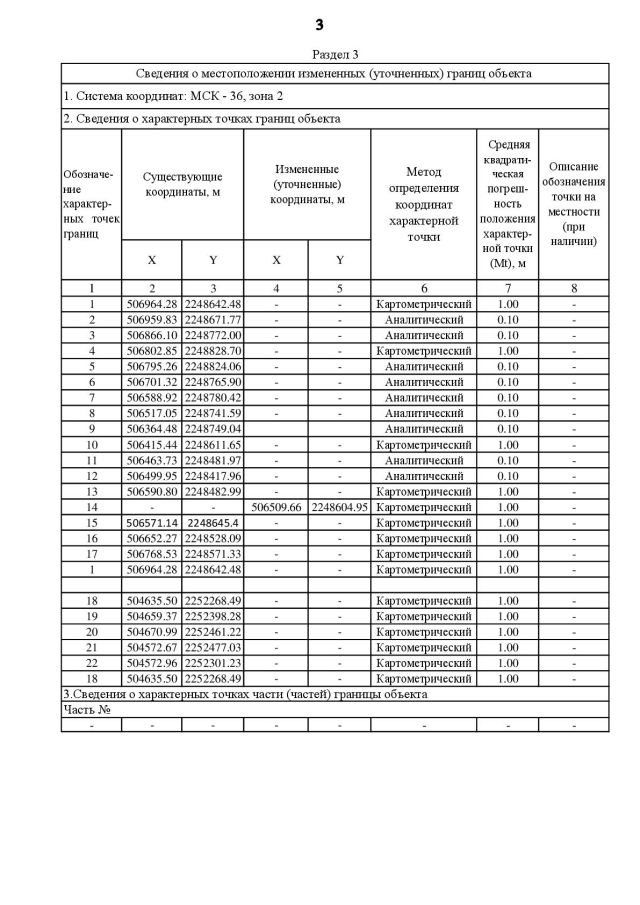
Страница №30 из 33:
Увеличить