Официальное опубликование правовых актов
ОФИЦИАЛЬНОЕ ОПУБЛИКОВАНИЕ
Приказ департамента природных ресурсов и экологии Воронежской области от 06.04.2023 № 179
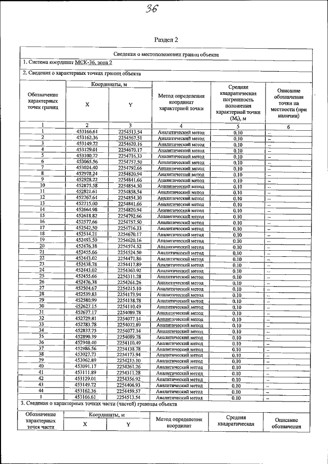
"Об установлении зон санитарной охраны шести эксплуатационных скважин №№ 1/1 (79372), 1/2 (79368), 2/1 (79363), 2/2 (79371), 3/1 (79376), 3/2(79377) для питьевого, хозяйственно-бытового водоснабжения площадок "Зона Воспроизводства", "Зона Откорма 1", "Зона Откорма 2" СК "Краснянский" предприятия ООО "АПК АГРОЭКО""
(Зарегистрирован 18.04.2023 № 374)
Номер опубликования: 3601202304200009
Дата опубликования: 20.04.2023
Страница №38 из 46:
Увеличить