Официальное опубликование правовых актов
ОФИЦИАЛЬНОЕ ОПУБЛИКОВАНИЕ
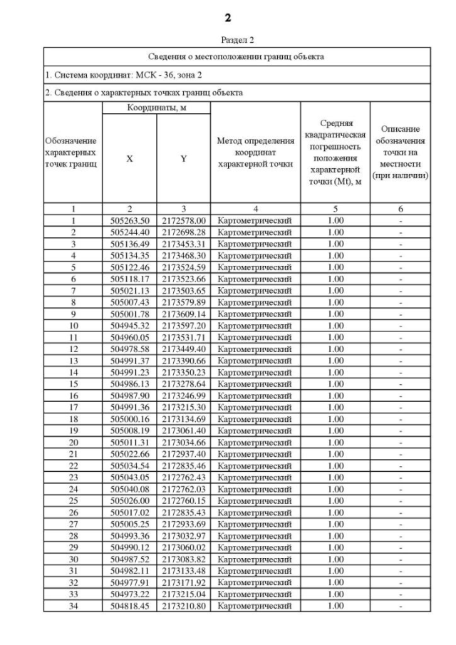
Приказ Департамента архитектуры и градостроительства Воронежской области от 31.03.2023 № 45-01-04/226
"О внесении изменений в правила землепользования и застройки Мосоловского сельского поселения Аннинского муниципального района Воронежской области"
(Зарегистрирован 07.04.2023 № 324)
Номер опубликования: 3601202304120014
Дата опубликования: 12.04.2023
Страница №9 из 22:
Увеличить