Официальное опубликование правовых актов
ОФИЦИАЛЬНОЕ ОПУБЛИКОВАНИЕ
Приказ Департамента архитектуры и градостроительства Воронежской области от 23.03.2023 № 45-01-04/207
"Об утверждении правил землепользования и застройки Писаревского сельского поселения Кантемировского муниципального района Воронежской области"
(Зарегистрирован 05.04.2023 № 310)
Номер опубликования: 3601202304120004
Дата опубликования: 12.04.2023
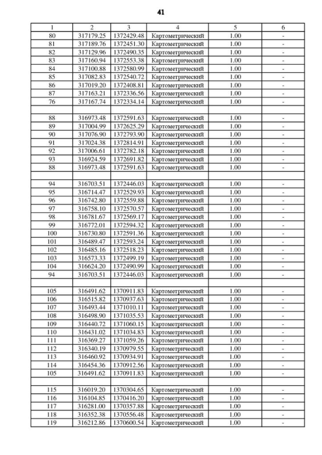
Страница №83 из 145:
Увеличить