Официальное опубликование правовых актов
ОФИЦИАЛЬНОЕ ОПУБЛИКОВАНИЕ
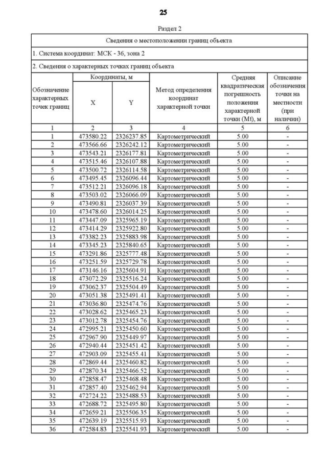
Приказ Департамента архитектуры и градостроительства Воронежской области от 24.01.2023 № 45-01-04/42
"Об утверждении правил землепользования и застройки Мазурского сельского поселения Поворинского муниципального района Воронежской области"
(Зарегистрирован 01.02.2023 № 60)
Номер опубликования: 3601202302060007
Дата опубликования: 06.02.2023
Страница №64 из 217:
Увеличить