Официальное опубликование правовых актов
ОФИЦИАЛЬНОЕ ОПУБЛИКОВАНИЕ
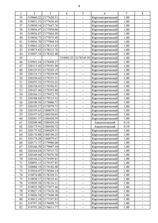
Приказ Департамента архитектуры и градостроительства Воронежской области от 16.12.2022 № 45-01-04/1260
"О внесении изменений в правила землепользования и застройки Поповского сельского поселения Богучарского муниципального района Воронежской области"
(Зарегистрирован 28.12.2022 № 2082)
Номер опубликования: 3601202212300003
Дата опубликования: 30.12.2022
Страница №27 из 96:
Увеличить