Официальное опубликование правовых актов
ОФИЦИАЛЬНОЕ ОПУБЛИКОВАНИЕ
Приказ Департамента архитектуры и градостроительства Воронежской области от 15.12.2022 № 45-01-04/1244
"О внесении изменений в правила землепользования и застройки Первоэртильского сельского поселения Эртильского муниципального района Воронежской области"
(Зарегистрирован 28.12.2022 № 2089)
Номер опубликования: 3601202212300002
Дата опубликования: 30.12.2022
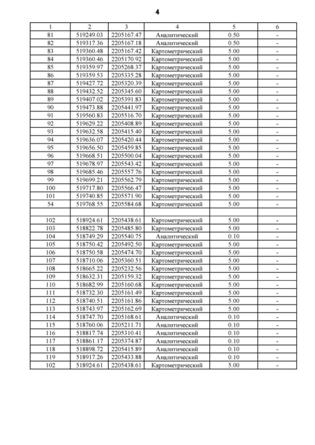
Страница №45 из 136:
Увеличить