Официальное опубликование правовых актов
ОФИЦИАЛЬНОЕ ОПУБЛИКОВАНИЕ
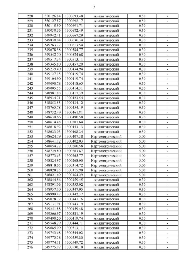
Приказ Департамента архитектуры и градостроительства Воронежской области от 28.10.2022 № 45-01-04/1071
"О внесении изменений в правила землепользования и застройки Комсомольского сельского поселения Рамонского муниципального района Воронежской области"
(Зарегистрирован 02.11.2022 № 1147)
Номер опубликования: 3601202211030004
Дата опубликования: 03.11.2022
Страница №32 из 50:
Увеличить