Официальное опубликование правовых актов
ОФИЦИАЛЬНОЕ ОПУБЛИКОВАНИЕ
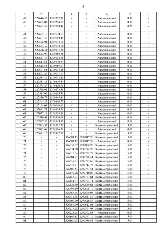
Приказ Департамента архитектуры и градостроительства Воронежской области от 28.10.2022 № 45-01-04/1072
"О внесении изменений в правила землепользования и застройки Яменского сельского поселения Рамонского муниципального района Воронежской области"
(Зарегистрирован 03.11.2022 № 1148)
Номер опубликования: 3601202211030002
Дата опубликования: 03.11.2022
Страница №145 из 191:
Увеличить