Официальное опубликование правовых актов
ОФИЦИАЛЬНОЕ ОПУБЛИКОВАНИЕ
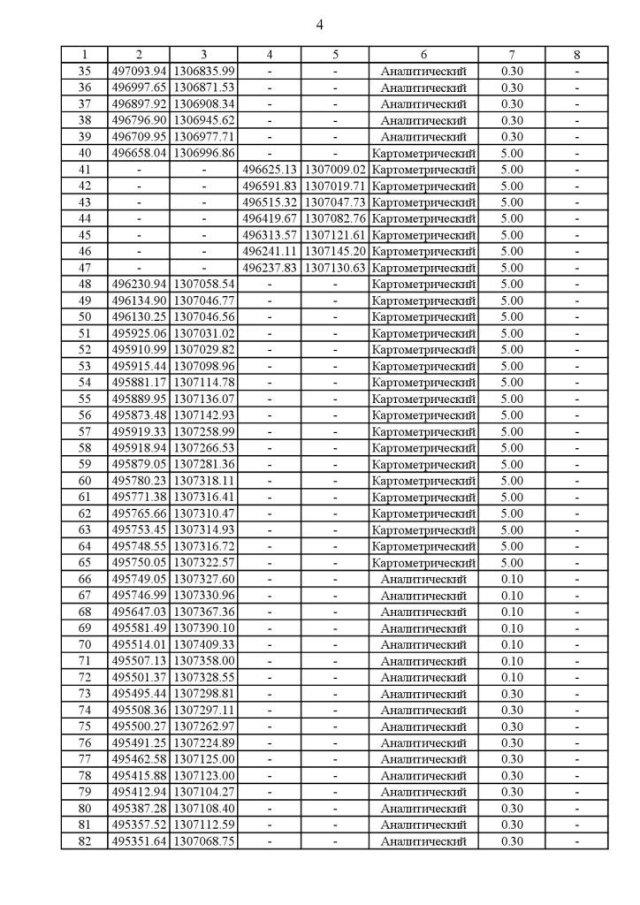
Приказ Департамента архитектуры и градостроительства Воронежской области от 08.09.2022 № 45-01-04/905
"О внесении изменений в правила землепользования и застройки Воронежского сельского поселения Новоусманского муниципального района Воронежской области"
(Зарегистрирован 21.09.2022 № 961)
Номер опубликования: 3601202209230001
Дата опубликования: 23.09.2022
Страница №12 из 18:
Увеличить