Официальное опубликование правовых актов
ОФИЦИАЛЬНОЕ ОПУБЛИКОВАНИЕ
Приказ Департамента архитектуры и градостроительства Воронежской области от 11.08.2022 № 45-01-04/842
"О внесении изменений в правила землепользования и застройки Семилукского сельского поселения Семилукского муниципального района Воронежской области"
(Зарегистрирован 24.08.2022 № 887)
Номер опубликования: 3601202208300007
Дата опубликования: 30.08.2022
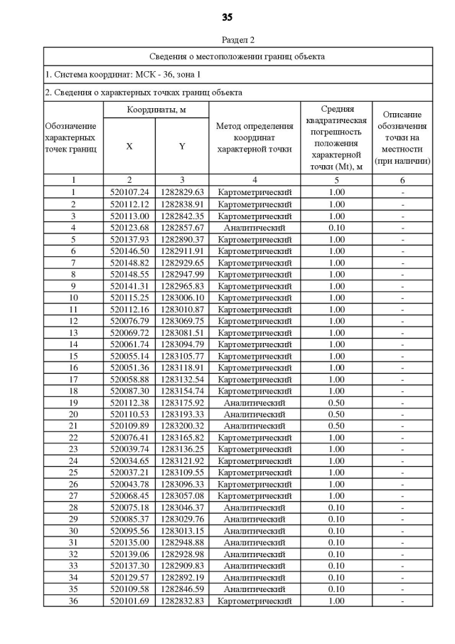
Страница №108 из 182:
Увеличить