Официальное опубликование правовых актов
ОФИЦИАЛЬНОЕ ОПУБЛИКОВАНИЕ
Приказ Департамента архитектуры и градостроительства Воронежской области от 20.07.2022 № 45-01-04/755
"О внесении изменений в правила землепользования и застройки Плясоватского сельского поселения Верхнехавского муниципального района Воронежской области"
(Зарегистрирован 01.08.2022 № 811)
Номер опубликования: 3601202208030009
Дата опубликования: 03.08.2022
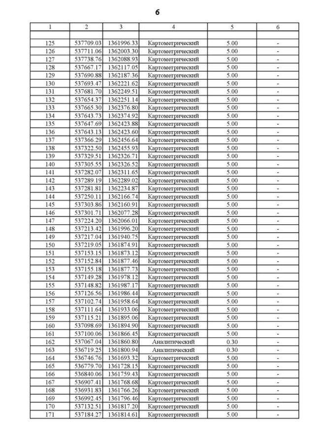
Страница №50 из 89:
Увеличить