Официальное опубликование правовых актов
ОФИЦИАЛЬНОЕ ОПУБЛИКОВАНИЕ
Приказ Департамента архитектуры и градостроительства Воронежской области от 05.07.2022 № 45-01-04/685
"О внесении изменений в правила землепользования и застройки Сагуновского сельского поселения Подгоренского муниципального района Воронежской области"
(Зарегистрирован 18.07.2022 № 737)
Номер опубликования: 3601202207200007
Дата опубликования: 20.07.2022
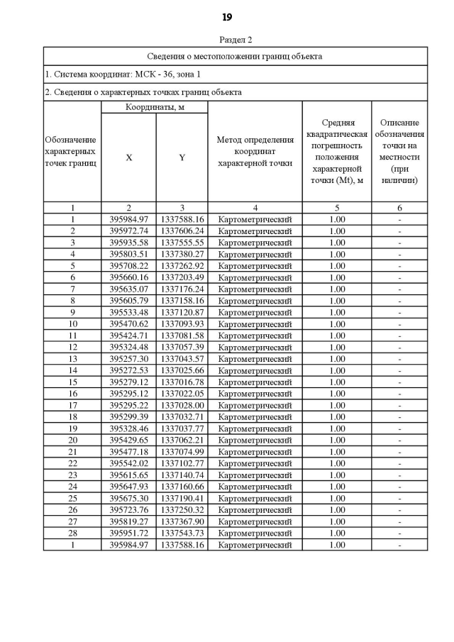
Страница №60 из 174:
Увеличить