Официальное опубликование правовых актов
ОФИЦИАЛЬНОЕ ОПУБЛИКОВАНИЕ
Приказ Департамента архитектуры и градостроительства Воронежской области от 05.07.2022 № 45-01-04/687
"О внесении изменений в правила землепользования и застройки Борщёвского сельского поселения Хохольского муниципального района Воронежской области"
(Зарегистрирован 18.07.2022 № 741)
Номер опубликования: 3601202207200005
Дата опубликования: 20.07.2022
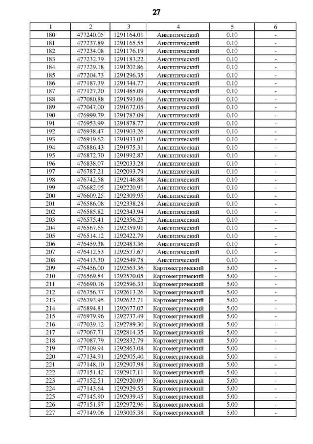
Страница №69 из 162:
Увеличить