Официальное опубликование правовых актов
ОФИЦИАЛЬНОЕ ОПУБЛИКОВАНИЕ
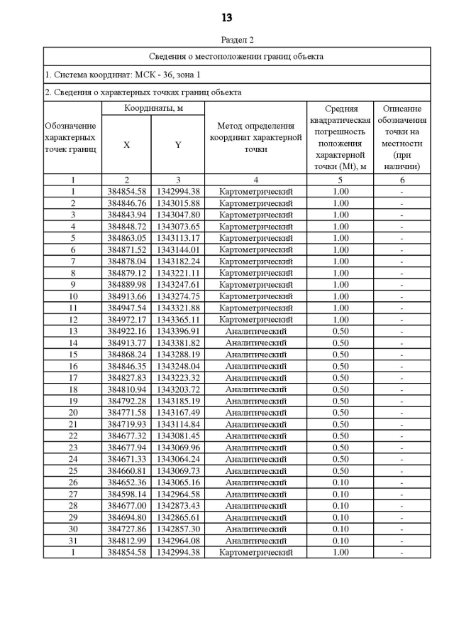
Приказ Департамента архитектуры и градостроительства Воронежской области от 05.07.2022 № 45-01-04/684
"О внесении изменений в правила землепользования и застройки Лыковского сельского поселения Подгоренского муниципального района Воронежской области"
(Зарегистрирован 18.07.2022 № 742)
Номер опубликования: 3601202207200003
Дата опубликования: 20.07.2022
Страница №97 из 100:
Увеличить