Официальное опубликование правовых актов
ОФИЦИАЛЬНОЕ ОПУБЛИКОВАНИЕ
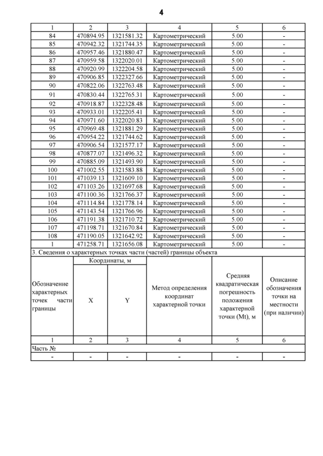
Приказ Департамента архитектуры и градостроительства Воронежской области от 29.06.2022 № 45-01-04/667
"О внесении изменений в правила землепользования и застройки Старинского сельского поселения Каширского муниципального района Воронежской области"
(Зарегистрирован 11.07.2022 № 708)
Номер опубликования: 3601202207140003
Дата опубликования: 14.07.2022
Страница №23 из 41:
Увеличить