Официальное опубликование правовых актов
ОФИЦИАЛЬНОЕ ОПУБЛИКОВАНИЕ
Приказ Департамента архитектуры и градостроительства Воронежской области от 27.06.2022 № 45-01-04/656
"О внесении изменений в правила землепользования и застройки Россыпнянского сельского поселения Калачеевского муниципального района Воронежской области"
(Зарегистрирован 07.07.2022 № 701)
Номер опубликования: 3601202207120003
Дата опубликования: 12.07.2022
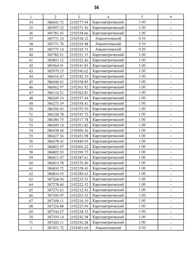
Страница №82 из 111:
Увеличить