Официальное опубликование правовых актов
ОФИЦИАЛЬНОЕ ОПУБЛИКОВАНИЕ
Приказ Департамента архитектуры и градостроительства Воронежской области от 15.06.2022 № 45-01-04/606
"О внесении изменений в правила землепользования и застройки Углянского сельского поселения Верхнехавского муниципального района Воронежской области"
(Зарегистрирован 04.07.2022 № 681)
Номер опубликования: 3601202207050002
Дата опубликования: 05.07.2022
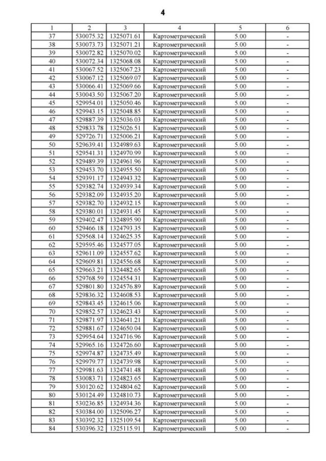
Страница №119 из 162:
Увеличить