Официальное опубликование правовых актов
ОФИЦИАЛЬНОЕ ОПУБЛИКОВАНИЕ
Приказ Департамента архитектуры и градостроительства Воронежской области от 31.05.2022 № 45-01-04/525
"О внесении изменений в правила землепользования и застройки Карачунского сельского поселения Рамонского муниципального района Воронежской области"
(Зарегистрирован 10.06.2022 № 578)
Номер опубликования: 3601202206150004
Дата опубликования: 15.06.2022
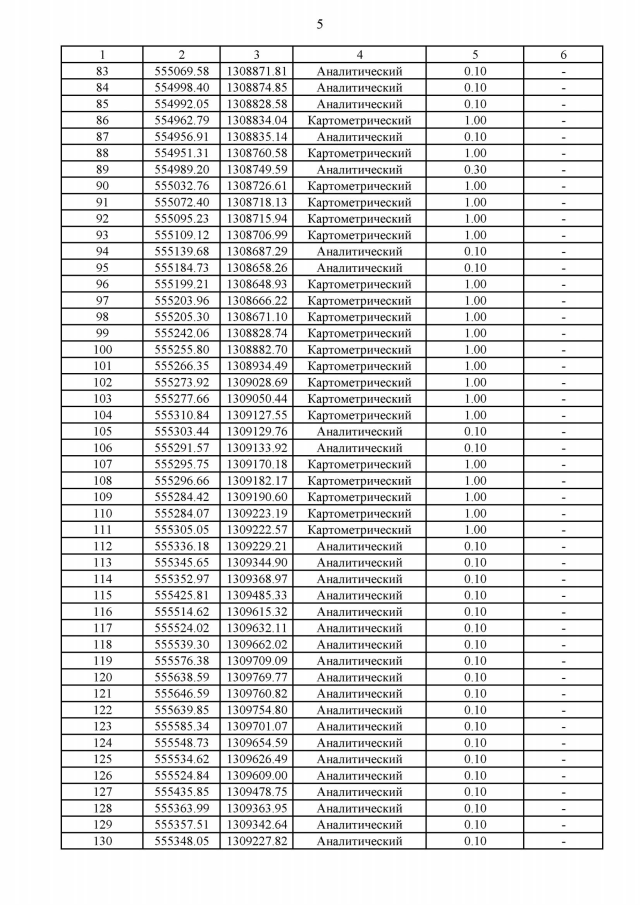
Страница №93 из 229:
Увеличить