Официальное опубликование правовых актов
ОФИЦИАЛЬНОЕ ОПУБЛИКОВАНИЕ
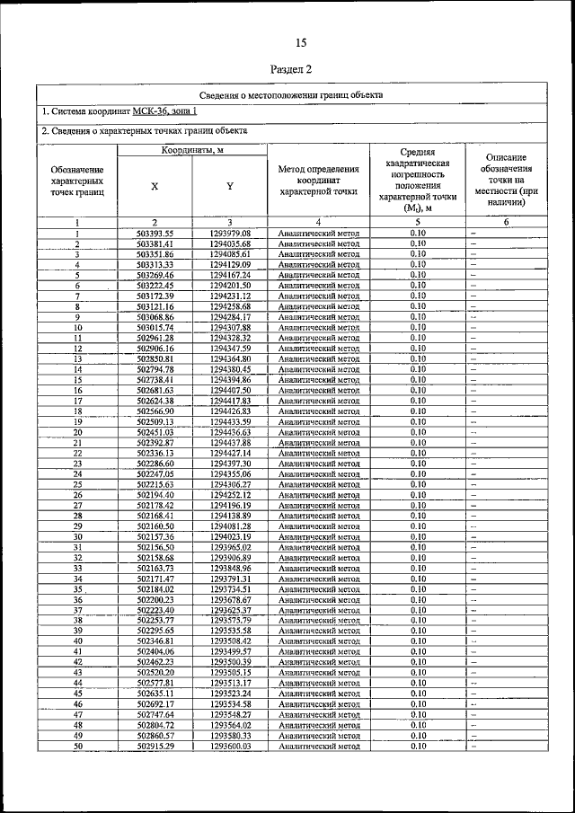
Приказ департамента природных ресурсов и экологии Воронежской области от 23.05.2022 № 207
"Об установлении зон санитарной охраны двух эксплуатационных скважин № 1 (№ по ГВК 20212329), № 2 (№ по ГВК 20212152) для питьевого и хозяйственно-бытового водоснабжения ЖСК "Междуречье"
(Зарегистрирован 02.06.2022 № 648)
Номер опубликования: 3601202206070004
Дата опубликования: 07.06.2022
Страница №17 из 20:
Увеличить