Официальное опубликование правовых актов
ОФИЦИАЛЬНОЕ ОПУБЛИКОВАНИЕ
Приказ Департамента архитектуры и градостроительства Воронежской области от 19.04.2022 № 45-01-04/349
"Об утверждении правил землепользования и застройки Суходонецкого сельского поселения Богучарского муниципального района Воронежской области"
(Зарегистрирован 12.05.2022 № 421)
Номер опубликования: 3601202205200002
Дата опубликования: 20.05.2022
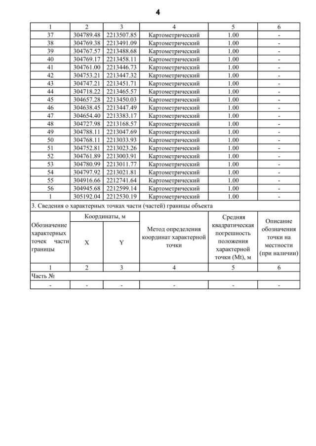
Страница №155 из 182:
Увеличить