Официальное опубликование правовых актов
ОФИЦИАЛЬНОЕ ОПУБЛИКОВАНИЕ
Приказ Департамента архитектуры и градостроительства Воронежской области от 30.03.2022 № 45-01-04/272
"О внесении изменений в правила землепользования и застройки Ерышевского сельского поселения Павловского муниципального района Воронежской области"
(Зарегистрирован 06.04.2022 № 283)
Номер опубликования: 3601202204110001
Дата опубликования: 11.04.2022
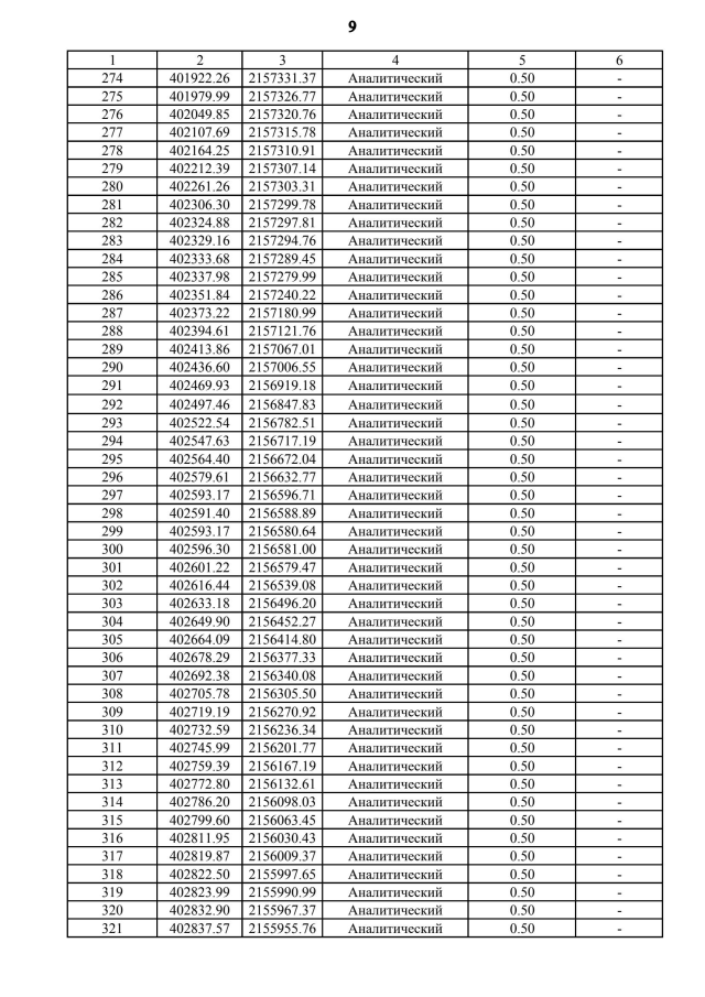
Страница №104 из 126:
Увеличить