Официальное опубликование правовых актов
ОФИЦИАЛЬНОЕ ОПУБЛИКОВАНИЕ
Приказ Департамента архитектуры и градостроительства Воронежской области от 24.03.2022 № 45-01-04/233
"Об утверждении правил землепользования и застройки Дзержинского сельского поселения Каширского муниципального района Воронежской области"
(Зарегистрирован 04.04.2022 № 272)
Номер опубликования: 3601202204070003
Дата опубликования: 07.04.2022
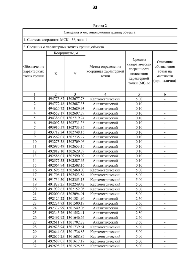
Страница №154 из 160:
Увеличить