Официальное опубликование правовых актов
ОФИЦИАЛЬНОЕ ОПУБЛИКОВАНИЕ
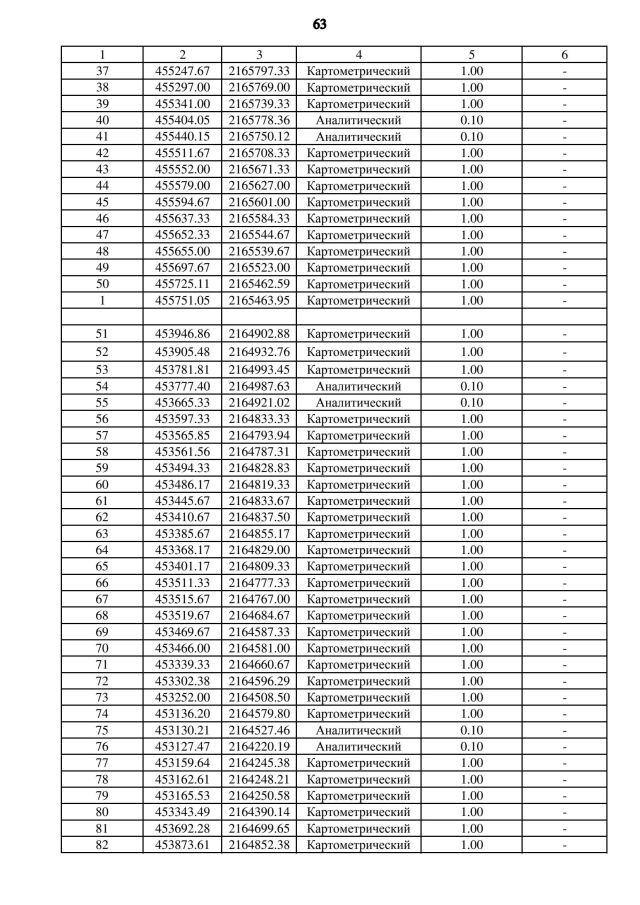
Приказ Департамента архитектуры и градостроительства Воронежской области от 24.03.2022 № 45-01-04/234
"О внесении изменений в правила землепользования и застройки Хреновского сельского поселения Бобровского муниципального района Воронежской области"
(Зарегистрирован 04.04.2022 № 273)
Номер опубликования: 3601202204070001
Дата опубликования: 07.04.2022
Страница №115 из 161:
Увеличить