Официальное опубликование правовых актов
ОФИЦИАЛЬНОЕ ОПУБЛИКОВАНИЕ
Приказ Департамента архитектуры и градостроительства Воронежской области от 24.12.2021 № 45-01-04/1377
"О внесении изменений в правила землепользования и застройки Колыбельского сельского поселения Лискинского муниципального района Воронежской области"
(Зарегистрирован 14.01.2022 № 1995)
Номер опубликования: 3601202201190022
Дата опубликования: 19.01.2022
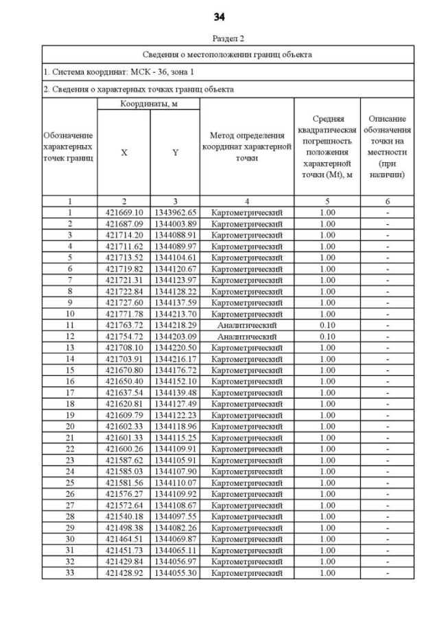
Страница №85 из 138:
Увеличить