Официальное опубликование правовых актов
ОФИЦИАЛЬНОЕ ОПУБЛИКОВАНИЕ
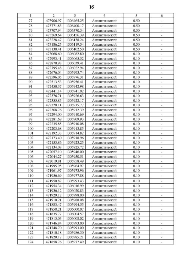
Приказ Департамента архитектуры и градостроительства Воронежской области от 24.12.2021 № 45-01-04/1378
"О внесении изменений в правила землепользования и застройки Круглянского сельского поселения Каширского муниципального района Воронежской области"
(Зарегистрирован 14.01.2022 № 1996)
Номер опубликования: 3601202201190021
Дата опубликования: 19.01.2022
Страница №127 из 148:
Увеличить