Официальное опубликование правовых актов
ОФИЦИАЛЬНОЕ ОПУБЛИКОВАНИЕ
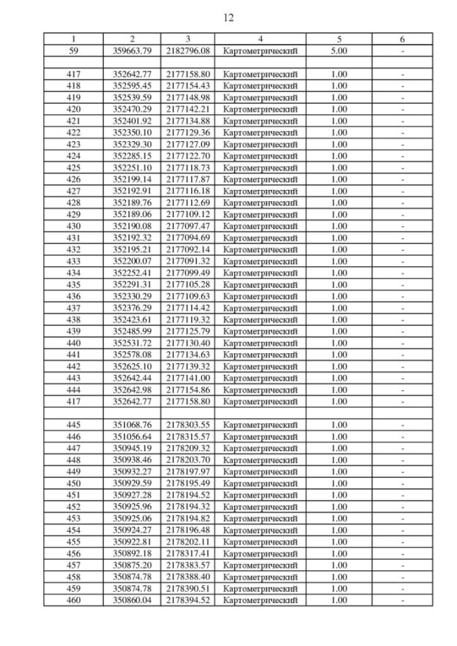
Приказ Департамента архитектуры и градостроительства Воронежской области от 16.12.2021 № 45-01-04/1338
"О внесении изменений в правила землепользования и застройки Приреченского сельского поселения Верхнемамонского муниципального района Воронежской области"
(Зарегистрирован 14.01.2022 № 2000)
Номер опубликования: 3601202201180002
Дата опубликования: 18.01.2022
Страница №125 из 129:
Увеличить