Официальное опубликование правовых актов
ОФИЦИАЛЬНОЕ ОПУБЛИКОВАНИЕ
Приказ Департамента архитектуры и градостроительства Воронежской области от 07.12.2021 № 45-01-04/1314
"О внесении изменений в правила землепользования и застройки Пчелиновского сельского поселения Бобровского муниципального района Воронежской области"
(Зарегистрирован 18.12.2021 № 1698)
Номер опубликования: 3601202112220069
Дата опубликования: 22.12.2021
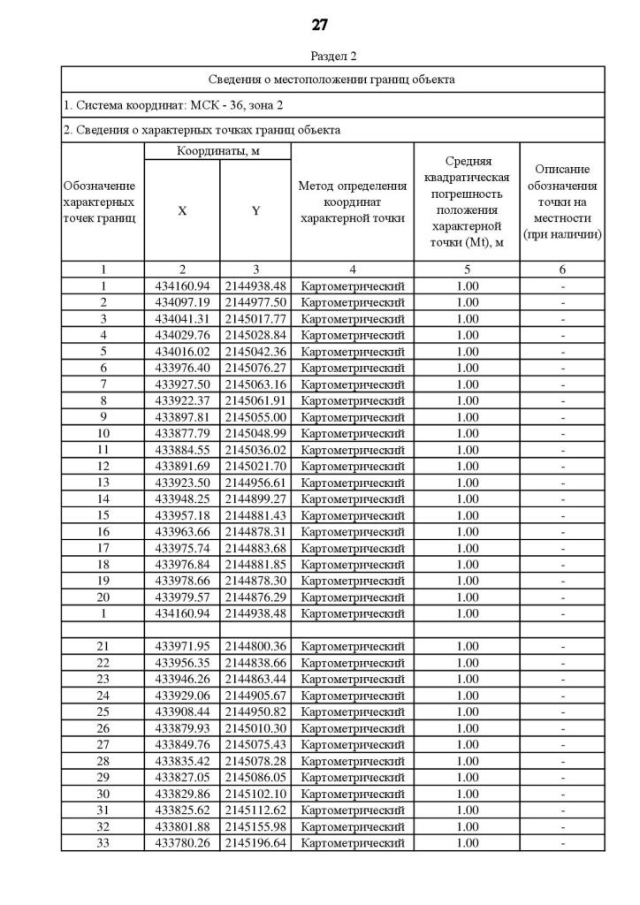
Страница №79 из 134:
Увеличить