Официальное опубликование правовых актов
ОФИЦИАЛЬНОЕ ОПУБЛИКОВАНИЕ
Приказ Департамента архитектуры и градостроительства Воронежской области от 18.10.2021 № 45-01-04/1152
"Об утверждении правил землепользования и застройки Алешковского сельского поселения Терновского муниципального района Воронежской области"
(Зарегистрирован 16.11.2021 № 1088)
Номер опубликования: 3601202111190006
Дата опубликования: 19.11.2021
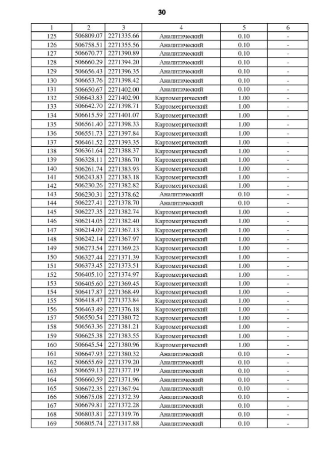
Страница №81 из 169:
Увеличить