Официальное опубликование правовых актов
ОФИЦИАЛЬНОЕ ОПУБЛИКОВАНИЕ
Приказ Департамента архитектуры и градостроительства Воронежской области от 20.10.2021 № 45-01-04/1178
"Об утверждении правил землепользования и застройки Сухогаёвского сельского поселения Верхнехавского муниципального района Воронежской области"
(Зарегистрирован 17.11.2021 № 1095)
Номер опубликования: 3601202111190004
Дата опубликования: 19.11.2021
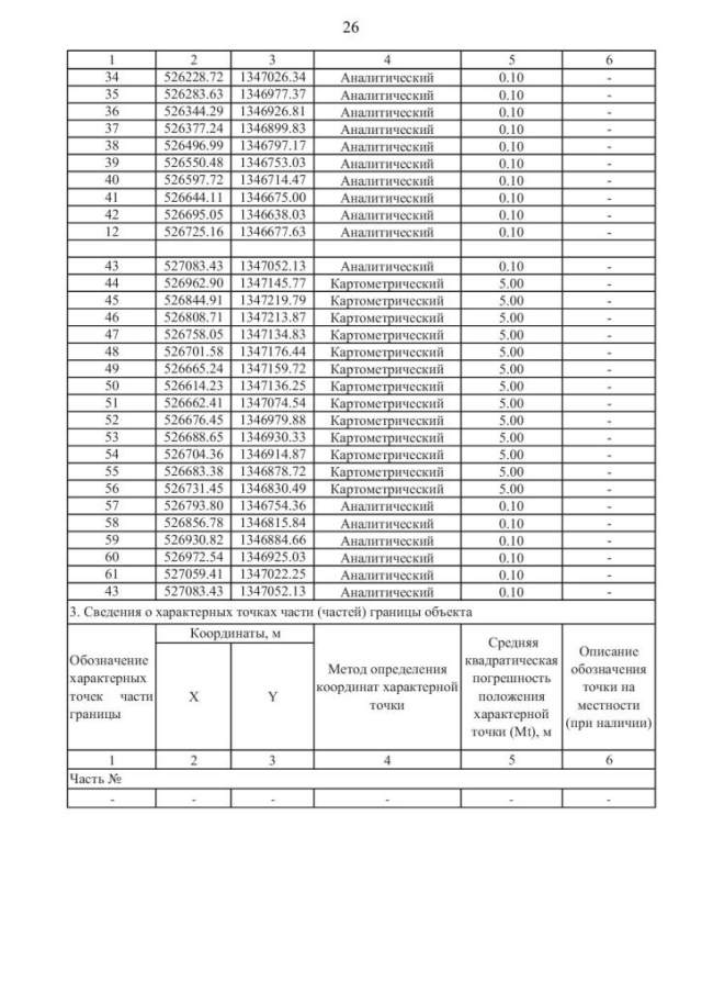
Страница №76 из 181:
Увеличить