Официальное опубликование правовых актов
ОФИЦИАЛЬНОЕ ОПУБЛИКОВАНИЕ
Приказ Департамента архитектуры и градостроительства Воронежской области от 22.10.2021 № 45-01-04/1185
"Об утверждении правил землепользования и застройки Комсомольского сельского поселения Рамонского муниципального района Воронежской области"
(Зарегистрирован 17.11.2021 № 1094)
Номер опубликования: 3601202111190003
Дата опубликования: 19.11.2021
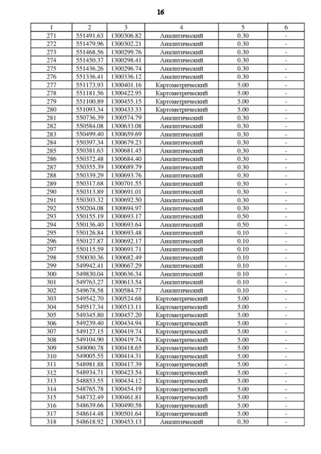
Страница №157 из 184:
Увеличить