Официальное опубликование правовых актов
ОФИЦИАЛЬНОЕ ОПУБЛИКОВАНИЕ
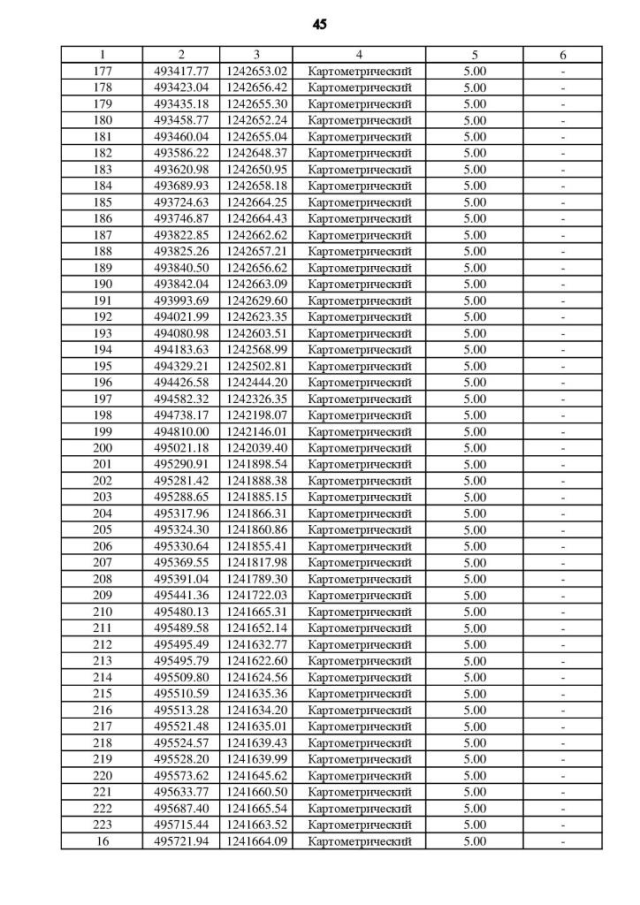
Приказ Департамента архитектуры и градостроительства Воронежской области от 21.10.2021 № 45-01-04/1181
"Об утверждении правил землепользования и застройки Першинского сельского поселения Нижнедевицкого муниципального района Воронежской области"
(Зарегистрирован 16.11.2021 № 1093)
Номер опубликования: 3601202111190002
Дата опубликования: 19.11.2021
Страница №92 из 156:
Увеличить