Официальное опубликование правовых актов
ОФИЦИАЛЬНОЕ ОПУБЛИКОВАНИЕ
Приказ Департамента архитектуры и градостроительства Воронежской области от 22.10.2021 № 45-01-04/1183
"Об утверждении правил землепользования и застройки Кочетовского сельского поселения Хохольского муниципального района Воронежской области"
(Зарегистрирован 16.11.2021 № 1092)
Номер опубликования: 3601202111190001
Дата опубликования: 19.11.2021
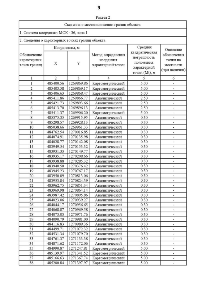
Страница №134 из 168:
Увеличить