Официальное опубликование правовых актов
ОФИЦИАЛЬНОЕ ОПУБЛИКОВАНИЕ
Приказ Департамента архитектуры и градостроительства Воронежской области от 12.10.2021 № 45-01-04/1115
"Об утверждении правил землепользования и застройки Скляевского сельского поселения Рамонского муниципального района Воронежской области"
(Зарегистрирован 02.11.2021 № 991)
Номер опубликования: 3601202111090010
Дата опубликования: 09.11.2021
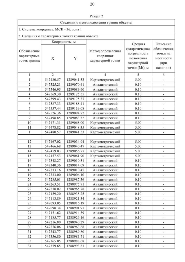
Страница №120 из 201:
Увеличить