Официальное опубликование правовых актов
ОФИЦИАЛЬНОЕ ОПУБЛИКОВАНИЕ
Приказ Департамента архитектуры и градостроительства Воронежской области от 04.10.2021 № 45-01-04/1086
"О внесении изменений в правила землепользования и застройки Щучинского сельского поселения Лискинского муниципального района Воронежской области"
(Зарегистрирован 19.10.2021 № 953)
Номер опубликования: 3601202110250001
Дата опубликования: 25.10.2021
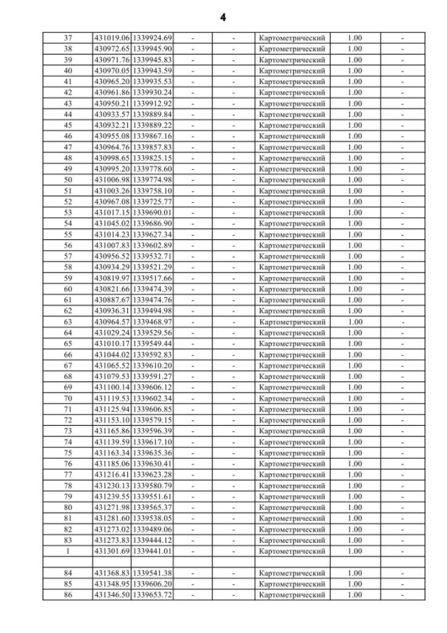
Страница №56 из 60:
Увеличить