Официальное опубликование правовых актов
ОФИЦИАЛЬНОЕ ОПУБЛИКОВАНИЕ
Приказ Департамента архитектуры и градостроительства Воронежской области от 27.09.2021 № 45-01-04/1084
"Об утверждении правил землепользования и застройки Острянского сельского поселения Нижнедевицкого муниципального района Воронежской области"
(Зарегистрирован 13.10.2021 № 932)
Номер опубликования: 3601202110180005
Дата опубликования: 18.10.2021
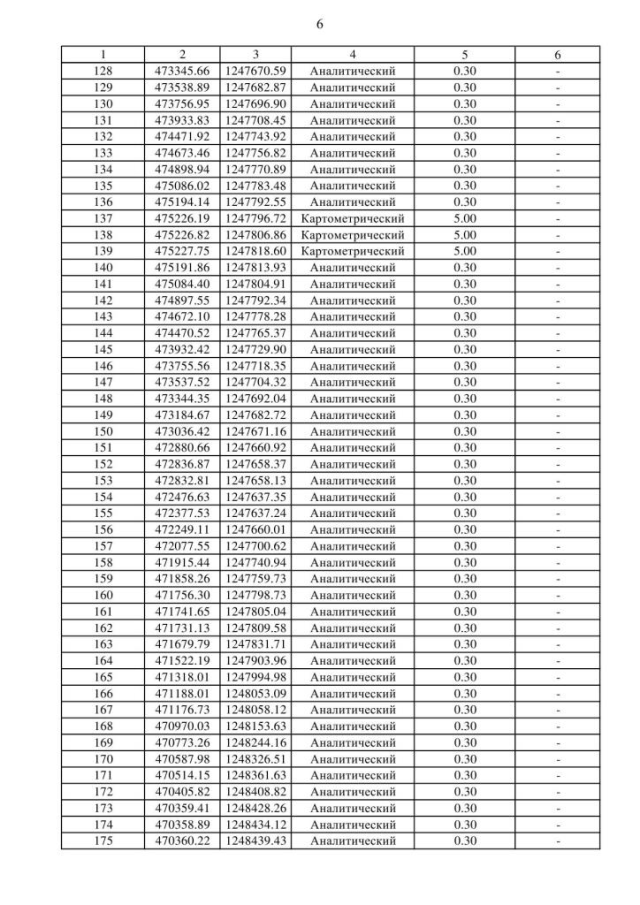
Страница №158 из 165:
Увеличить